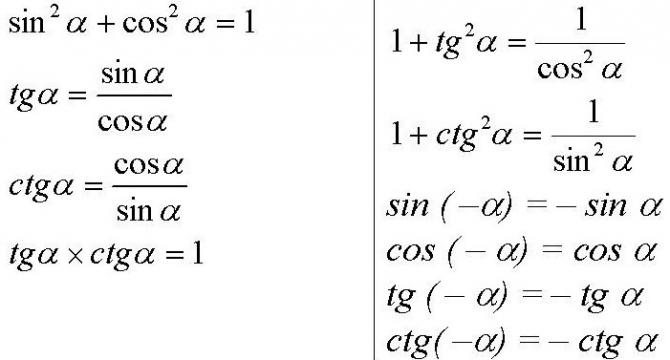
Синус сумы, косинус разности.
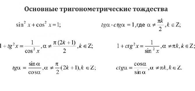
Главные формулы по тригонометрии.
Синус в квадрате плюс косинус в квадрате.
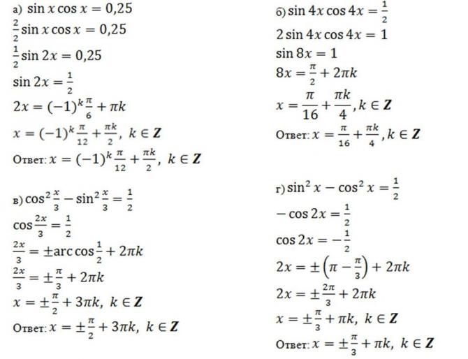
Образцы с заданиями.
Тригонометрические формулы.


Картина формул по тригонометрии.
Арксинус, арккосинус.
Выражение функций.


Главные тождества.

Решение образцов.
Синусы с цифрами.



Большие тригонометрические формулы.

Выражение функции числа.



Школьные формулы по тригонометрии.
Творения с образцами.
Котангенс, тангенс.

Задания с ответами.


















