
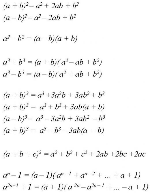
Обыкновенные формулы по алгебре.
Аксиома Виета, сокращенное умножение.

Формулы по алгебре.
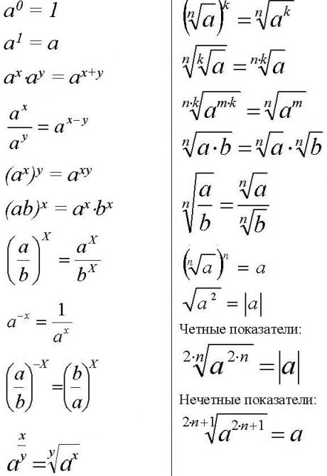
Характеристики четные и нечетные.

Картина формул по алгебре.
Примеры с правильными ответами.
Сокращенное умножение.

Квадрат сумы двух выражений.
Закон двойного отрицания.
Главные формулы по алгебре.
Пример с синусами и косинусами.
Разные примеры.
Очень красивая картина формул по алгебре.



Решение задач.
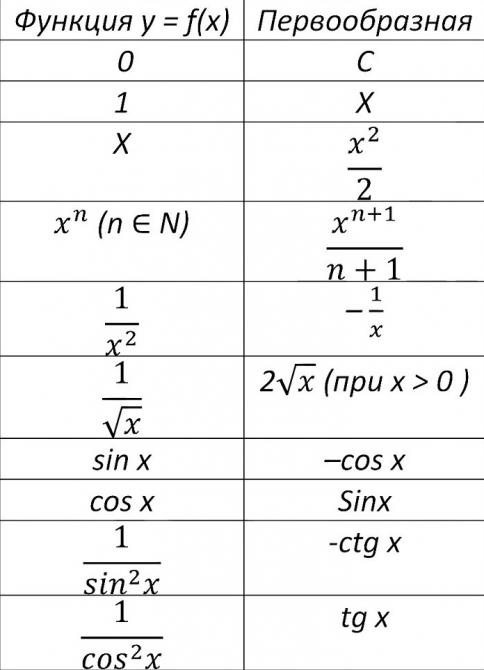
Примеры с логарифмами.
Формулы по алгебре.

Квадрат разности и сумы.




















