


Интегралы и произвольные.
Математические формулы.
Квадратичная функция для 7, 8, 9, 10 и 11 класса.
Встречное и противоположное движение.
Картина формул по арифметике.
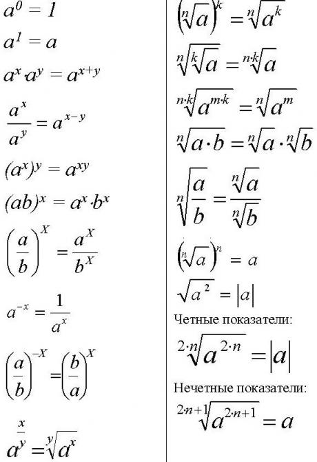
Ступени, корешки, логарифмы.


Четные и нечетные характеристики.


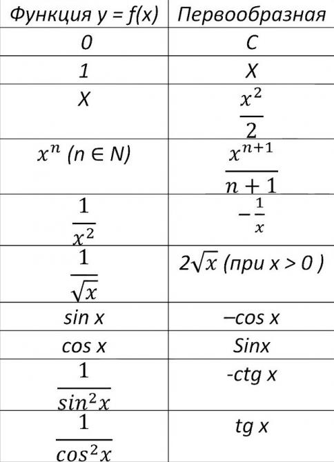
Функции и первообразные.
Корень и прямоугольный треугольник.
Очень красивая картина формул по арифметике.

Наиболее трудные примеры.


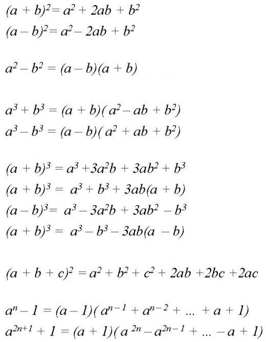
Сокращенное умножение.



Обыкновенные формулы по арифметике.

Обыкновенные уравнения.














